为深入学习贯彻落实习近平总书记关于党史、新中国史、改革开放史、社会主义发展史(以下简称“四史”)指示精神,全面推动习近平新时代中国特色社会主义思想“三进”工作,持续深化爱国主义教育,以学习“四史”为主线,以知识学习为基础,引导全体学生坚定理想信念,传承红色基因,激发爱国力行,做到今昔对照、融会贯通,不断增强听党话、跟党走的自觉,为实现中华民族伟大复兴的中国梦贡献智慧和力量,2021年5月1日-6月15日马克思主义学院组织开展了“四史”知识竞赛线上竞答活动。
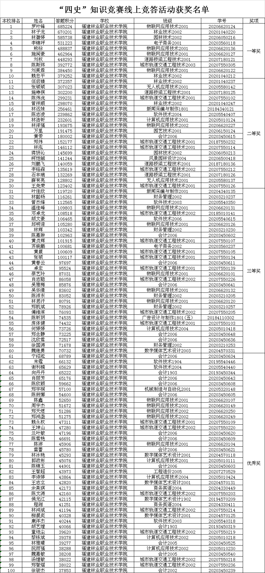
在全院师生的共同努力下,“四史”知识竞赛线上竞答活动顺利完成,取得良好成效,参加学生数达4744名,并对在竞答中取得全院前100名进行表彰。
